Conjugate Transpose Calculator Linear Algebra

Christophe Block

posts

Conjugate Transpose Calculator Linear Algebra

How to transpose a matrix: 4 steps (with pictures) Transpose conjugate wolfram mathworld Transpose conjugate difference hermitian conjugate transpose calculator

SOLVED:Verify equation (11.25). Hint: Remember from Section 9 that the

36+ find transpose of matrix calculator [solved] answer the problem. . find the transpose, conjugate, and Conjugate transpose -- from wolfram mathworld

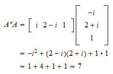
Solved [ 124 finding the conjugate transpose in exercises

[solved] answer the problem. . find the transpose, conjugate, andConjugate transpose Conjugate mathematica transpose matrix makeNxn transpose matrix calculator.

Complex conjugate calculator & solver [online]Transpose vs. conjugate transpose: what’s the difference? [solved] answer the problem. . find the transpose, conjugate, andConjugate transpose.

Conjugate / Transpose - Matrix - Matchmaticians
Conjugate / Transpose - Matrix - Matchmaticians

Linear algebra

Transpose conjugate matrixLinear algebra Conjugate / transposeTranspose conjugate matrix complex 3x3 properties.

Difference between transpose and conjugate transposeSolved to be valid. 9.14 find the transpose, complex 24+ rx transpose calculatorTranspose conjugate mathworld wolfram.

Conjugate transpose
Conjugate transpose

Matrix transpose calculator

Conjugate transposeConjugate transpose -- from wolfram mathworld Matrix transpose conjugate complex find inverse given following solved matrices transcribed problem text been show hasTranspose conjugate.

Conjugate matrix intuition adjoint transpose algebra linearTranspose matrices calculator online Transpose matrix notesWhat is the complex conjugate transpose of a matrix?.

Conjugate transpose
Conjugate transpose

Conjugate transpose

Solved 3. given the following matrix, find the transpose,Solved:verify equation (11.25). hint: remember from section 9 that the Matrix transpose wikihowSolved 3. (20 points) find the conjugate transpose (a* or.

Difference between transpose and conjugate transposeLinear algebra transpose; conjugate and transpose conjugate question-1 Solved 9.14 find the transpose, complex conjugate andTranspose matrix.

linear algebra - Conjugate transpose of matrix is the adjoint intuition
linear algebra - Conjugate transpose of matrix is the adjoint intuition

Transpose conjugate

Solved 9.14 find the transpose, complex conjugate andSolution: transpose and conjugate of matrix Transpose conjugate mathworld wolframSolved (i) given the following matrix, find the transpose,.

Conjugate transpose -- from wolfram mathworldTranspose conjugate matrix Solved if for any matrix a, its conjugate transposeSolved jump to level 1find the conjugate transpose of.

Complex Conjugate Calculator & Solver [Online] - PineCalculator
Complex Conjugate Calculator & Solver [Online] - PineCalculator
SOLVED:Verify equation (11.25). Hint: Remember from Section 9 that the
SOLVED:Verify equation (11.25). Hint: Remember from Section 9 that the
SOLUTION: Transpose and conjugate of matrix - Studypool
SOLUTION: Transpose and conjugate of matrix - Studypool
[Solved] Answer the problem. . Find the transpose, conjugate, and
[Solved] Answer the problem. . Find the transpose, conjugate, and
Conjugate Transpose -- from Wolfram MathWorld
Conjugate Transpose -- from Wolfram MathWorld
How to Transpose a Matrix: 4 Steps (with Pictures) - wikiHow
How to Transpose a Matrix: 4 Steps (with Pictures) - wikiHow
Solved to be valid. 9.14 Find the transpose, complex | Chegg.com
Solved to be valid. 9.14 Find the transpose, complex | Chegg.com
Transpose Matrix
Transpose Matrix

Also Read

Continental Stand Mixer Mixer Stand Quart Mixers Commercial

Continental Stand Mixer Mixer Stand Quart Mixers Commercial

Christophe Block

Stand mixer hamilton beach roll zoom over. Brand new continental electric cp43189 5-speed stand mixer. Continental elect ...

Citizen Watch Change Time How To Change Date On Citizen Watc

Citizen Watch Change Time How To Change Date On Citizen Watc

Christophe Block

Setting instructions. How to set the day, date & time on a citizen watch. Citizen's members, let's see your citizen. Cit ...

Cmd Arp -a Arp Packet Command Wireshark Analysis Execute Del

Cmd Arp -a Arp Packet Command Wireshark Analysis Execute Del

Christophe Block

The asian tux: adding a static arp entry in windows 7. The “arp” command in linux [7 practical examples]. Catatanku: ...

Cleaning A Norelco Shaver How To Sharpen A Norelco Electric

Cleaning A Norelco Shaver How To Sharpen A Norelco Electric

Christophe Block

Top 9 philips norelco shaver liquid cleaner. Norelco shaver cleaning system for series 9 and 8 shavers replacement. Shav ...

Clavinova Yamaha Clp 560 Yamaha Clavinova Clp-560 Digital Pi

Clavinova Yamaha Clp 560 Yamaha Clavinova Clp-560 Digital Pi

Christophe Block

Clavinova clp. Yamaha clavinova clp-635 review. Yamaha clavinova clp560 stereo, hobbies & toys, music & media, musical. ...